Официальное опубликование правовых актов
ОФИЦИАЛЬНОЕ ОПУБЛИКОВАНИЕ
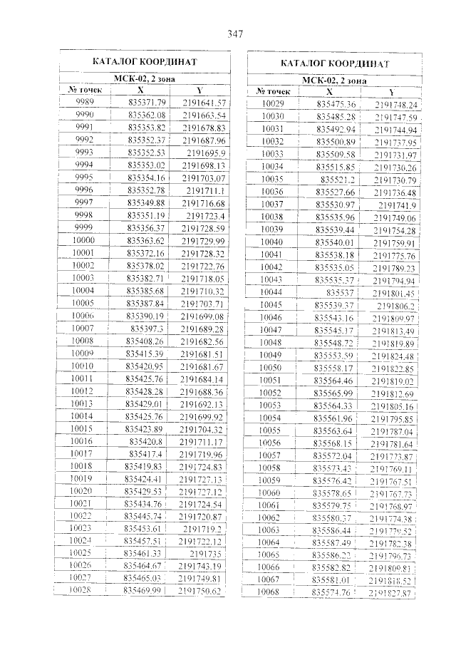
Закон Республики Башкортостан от 29.11.2018 № 15-з
"Об утверждении Соглашения об описании местоположения границы между Пермским краем и Республикой Башкортостан"
Номер опубликования: 0200201812060008
Дата опубликования: 06.12.2018
Страница №350 из 412:
Увеличить