Официальное опубликование правовых актов
ОФИЦИАЛЬНОЕ ОПУБЛИКОВАНИЕ
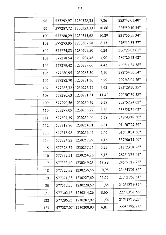
Закон Республики Башкортостан от 22.06.2018 № 634-з
"Об изменениях в административно-территориальном устройстве Республики Башкортостан и изменении границ муниципальных образований Белебеевский и Ермекеевский районы Республики Башкортостан"
Номер опубликования: 0200201806290019
Дата опубликования: 29.06.2018
Страница №112 из 149:
Увеличить