Официальное опубликование правовых актов
ОФИЦИАЛЬНОЕ ОПУБЛИКОВАНИЕ
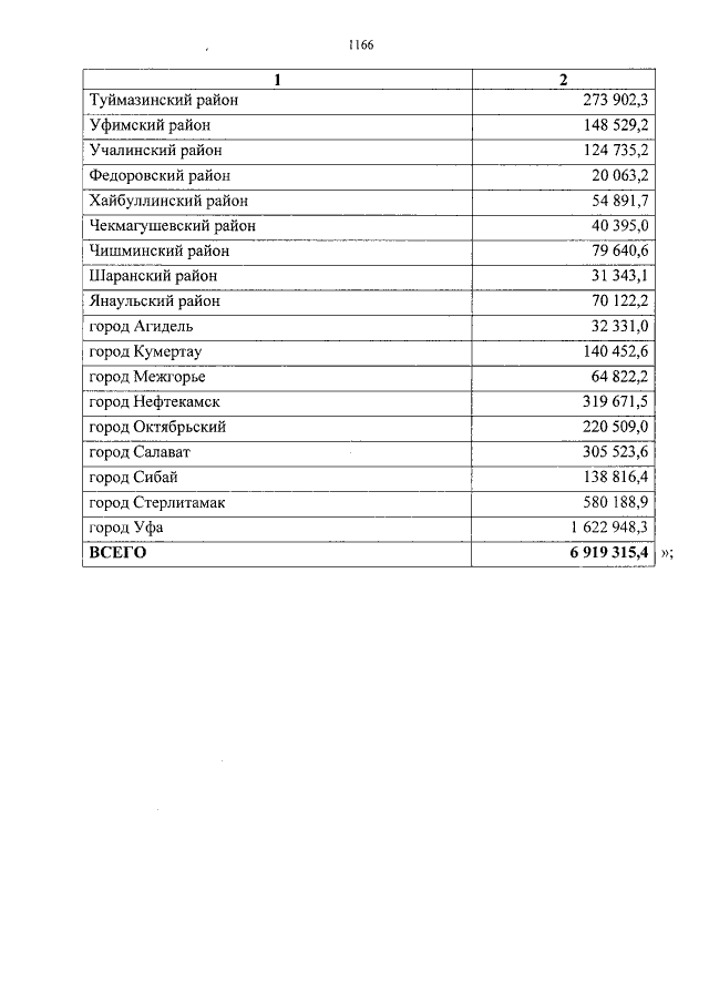
Закон Республики Башкортостан от 27.02.2018 № 581-з
"О внесении изменений в Закон Республики Башкортостан "О бюджете Республики Башкортостан на 2018 год и на плановый период 2019 и 2020 годов"
Номер опубликования: 0200201803070003
Дата опубликования: 07.03.2018
Страница №1166 из 1180:
Увеличить