Официальное опубликование правовых актов
ОФИЦИАЛЬНОЕ ОПУБЛИКОВАНИЕ
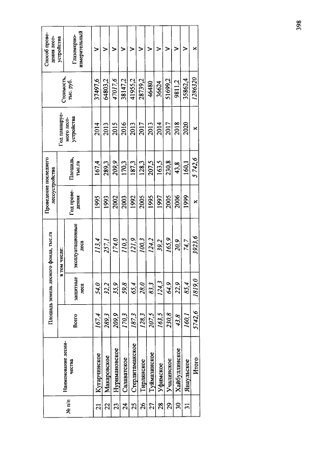
Указ Главы Республики Башкортостан от 11.11.2016 № УГ-276
"О внесении изменений в Лесной план Республики Башкортостан"
Номер опубликования: 0200201611180002
Дата опубликования: 18.11.2016
Страница №399 из 707:
Увеличить