Официальное опубликование правовых актов
ОФИЦИАЛЬНОЕ ОПУБЛИКОВАНИЕ
Постановление Администрации муниципального образования «Натырбовское сельское поселение» Республики Адыгея от 04.12.2017 № 36
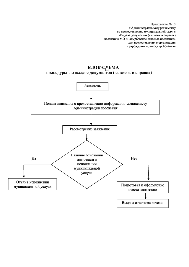
"Об утверждении административного регламента по предоставлению муниципальной услуги "Выдача документов (выписок и справок) населению муниципального образования "Натырбовское сельское поселение" для предоставления в организации и учреждения по месту требования (в новой редакции)" (Тестовое опубликование)
Номер опубликования: 0102201712220001
Дата опубликования: 22.12.2017
Страница №30 из 34:
Увеличить