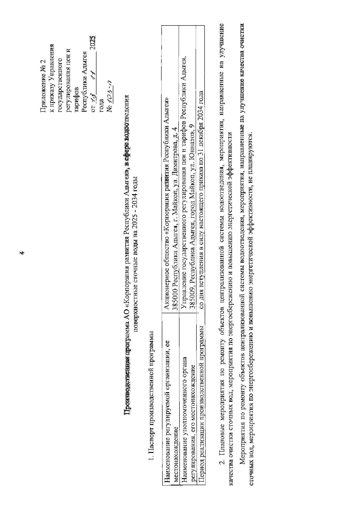
Приказ Управления государственного регулирования цен и тарифов Республики Адыгея от 18.11.2025 № 103-п
"Об установлении тарифов на водоотведение поверхностных сточных вод для АО "Корпорация развития Республики Адыгея" на 2025-2034 годы"
(Зарегистрирован 01.12.2025 № 25-405)
"Об установлении тарифов на водоотведение поверхностных сточных вод для АО "Корпорация развития Республики Адыгея" на 2025-2034 годы"
(Зарегистрирован 01.12.2025 № 25-405)
Номер опубликования: 0101202512030001
Дата опубликования:
03.12.2025
