Официальное опубликование правовых актов
ОФИЦИАЛЬНОЕ ОПУБЛИКОВАНИЕ
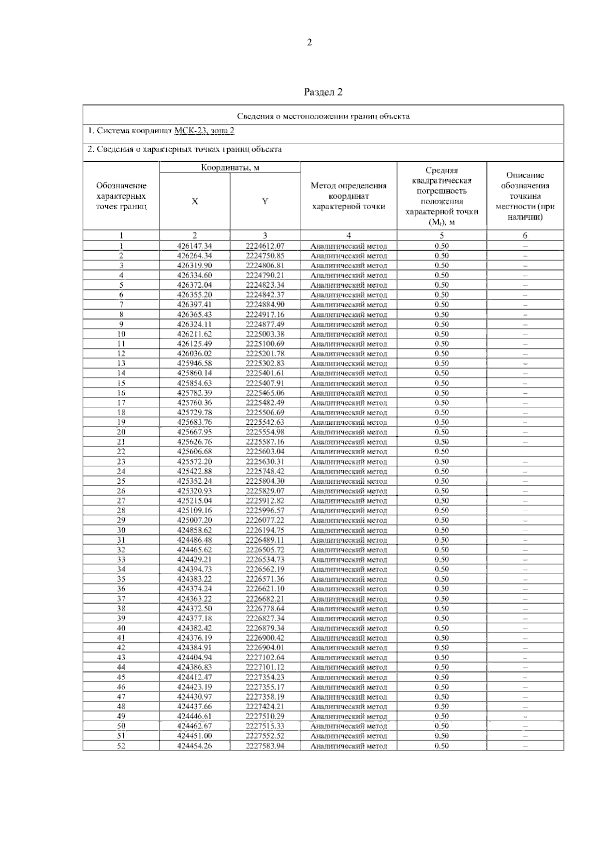
Приказ Комитета Республики Адыгея по имущественным отношениям от 21.10.2024 № 318-ОД
"Об установлении публичного сервитута с целью размещения объекта регионального значения"
(Зарегистрирован 25.10.2024 № 24-403)
Номер опубликования: 0101202410280003
Дата опубликования: 28.10.2024
Страница №14 из 45:
Увеличить