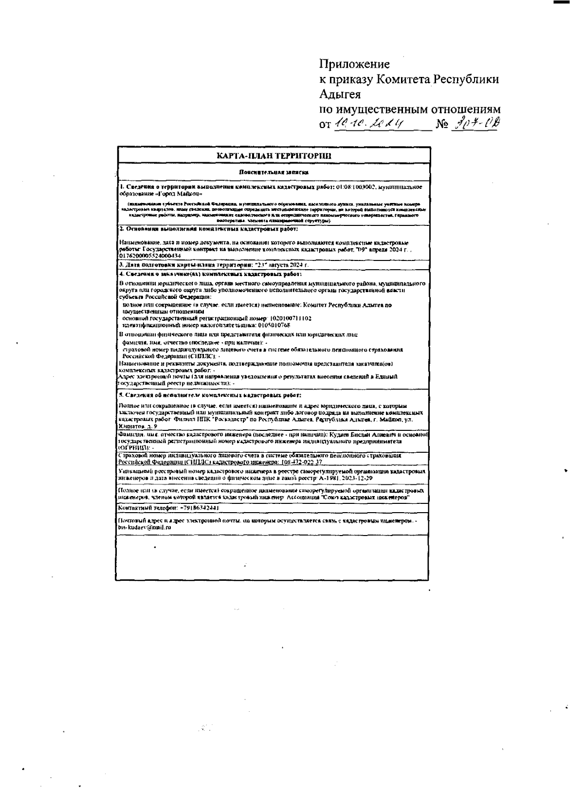
Приказ Комитета Республики Адыгея по имущественным отношениям от 10.10.2024 № 307-ОД
"Об утверждении карты-плана территории, подготовленной в результате выполнения комплексных кадастровых работ в границах кадастрового квартала 01:08:1003002"
(Зарегистрирован 16.10.2024 № 24-389)
"Об утверждении карты-плана территории, подготовленной в результате выполнения комплексных кадастровых работ в границах кадастрового квартала 01:08:1003002"
(Зарегистрирован 16.10.2024 № 24-389)
Номер опубликования: 0101202410210016
Дата опубликования:
21.10.2024
