Приказ Комитета Республики Адыгея по имущественным отношениям от 11.10.2024 № 313-ОД
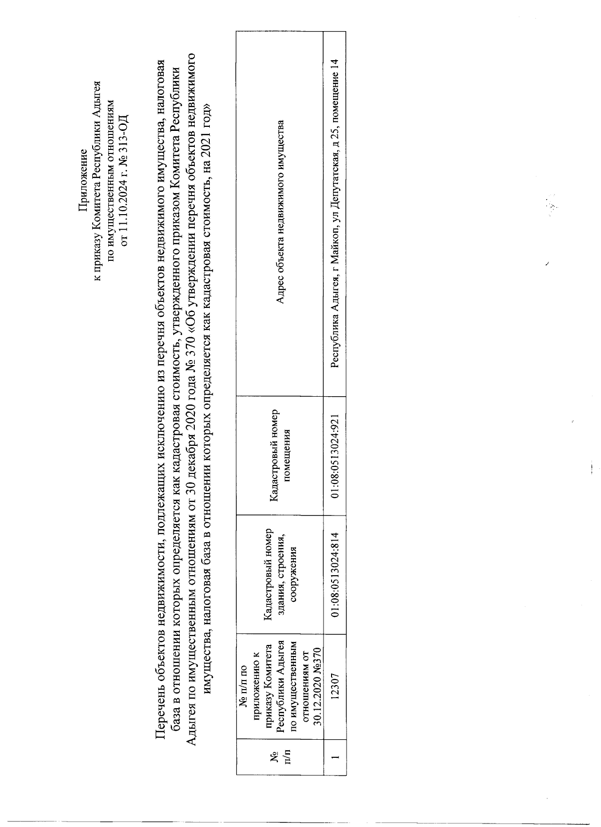
"О внесении изменений в перечень объектов недвижимого имущества, налоговая база в отношении которых определяется как кадастровая стоимость, утвержденный приказом Комитета Республики Адыгея по имущественным отношениям от 30 декабря 2020 года № 370 "Об утверждении перечня объектов недвижимого имущества, налоговая база в отношении которых определяется как кадастровая стоимость, на 2021 год"
(Зарегистрирован 16.10.2024 № 24-391)
"О внесении изменений в перечень объектов недвижимого имущества, налоговая база в отношении которых определяется как кадастровая стоимость, утвержденный приказом Комитета Республики Адыгея по имущественным отношениям от 30 декабря 2020 года № 370 "Об утверждении перечня объектов недвижимого имущества, налоговая база в отношении которых определяется как кадастровая стоимость, на 2021 год"
(Зарегистрирован 16.10.2024 № 24-391)
Номер опубликования: 0101202410210010
Дата опубликования:
21.10.2024
