Официальное опубликование правовых актов
ОФИЦИАЛЬНОЕ ОПУБЛИКОВАНИЕ
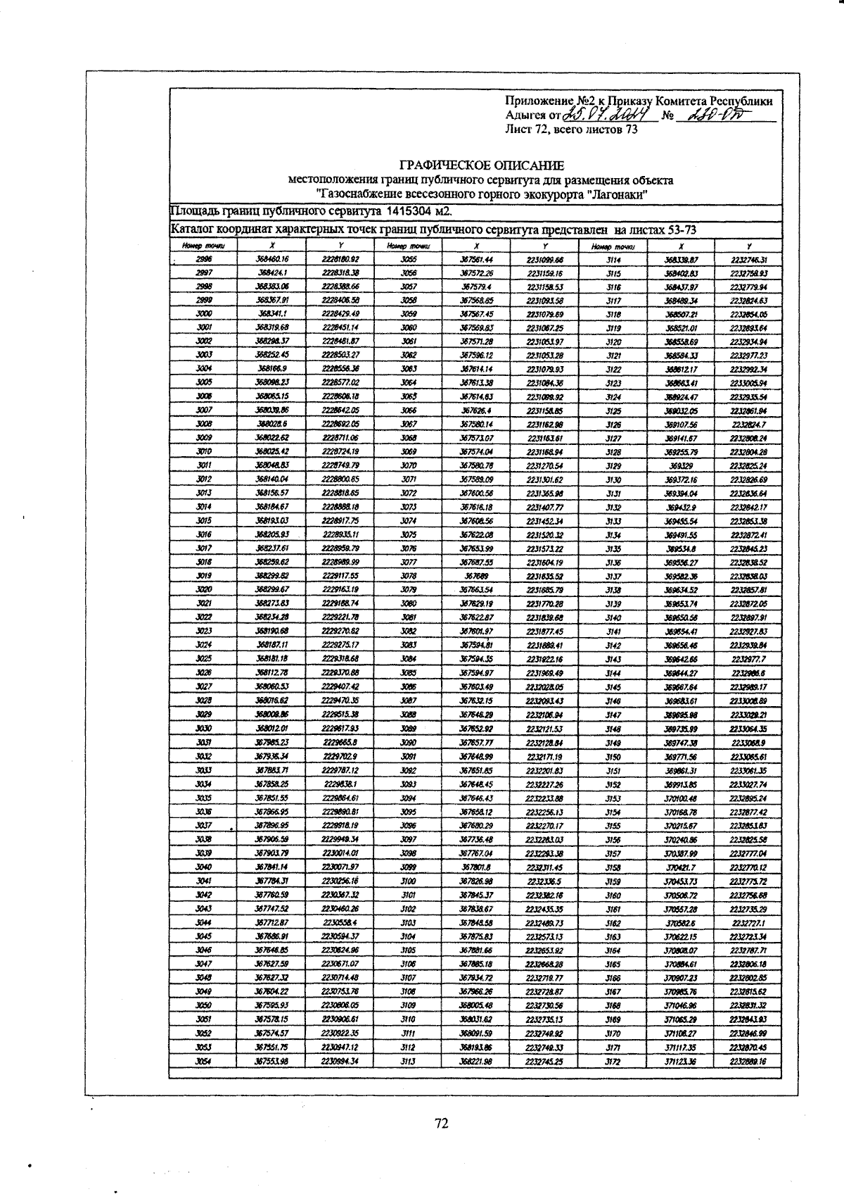
Приказ Комитета Республики Адыгея по имущественным отношениям от 25.07.2024 № 230-ОД
"Об установлении публичного сервитута с целью размещения объекта регионального значения"
(Зарегистрирован 01.08.2024 № 24-301)
Номер опубликования: 0101202408050001
Дата опубликования: 05.08.2024
Страница №83 из 84:
Увеличить