Приказ Управления государственного регулирования цен и тарифов Республики Адыгея от 30.11.2023 № 191-п
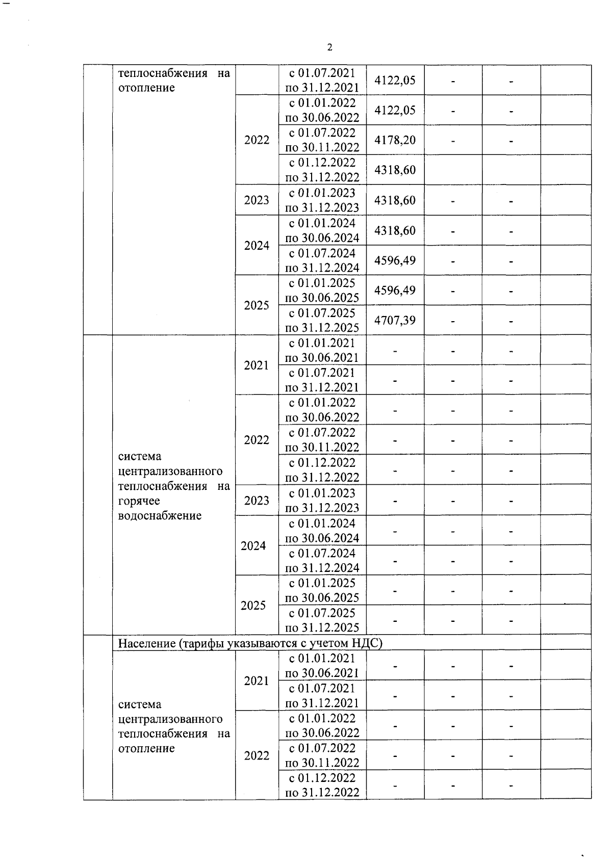
"О корректировке тарифов на тепловую энергию, установленных на долгосрочный период регулирования 2021-2025 годов для ООО "Логистический центр Адыгея 1", на 2024-2025 годы"
(Зарегистрирован 07.12.2023 № 23-403)
"О корректировке тарифов на тепловую энергию, установленных на долгосрочный период регулирования 2021-2025 годов для ООО "Логистический центр Адыгея 1", на 2024-2025 годы"
(Зарегистрирован 07.12.2023 № 23-403)
Номер опубликования: 0101202312080006
Дата опубликования:
08.12.2023
