Официальное опубликование правовых актов
ОФИЦИАЛЬНОЕ ОПУБЛИКОВАНИЕ
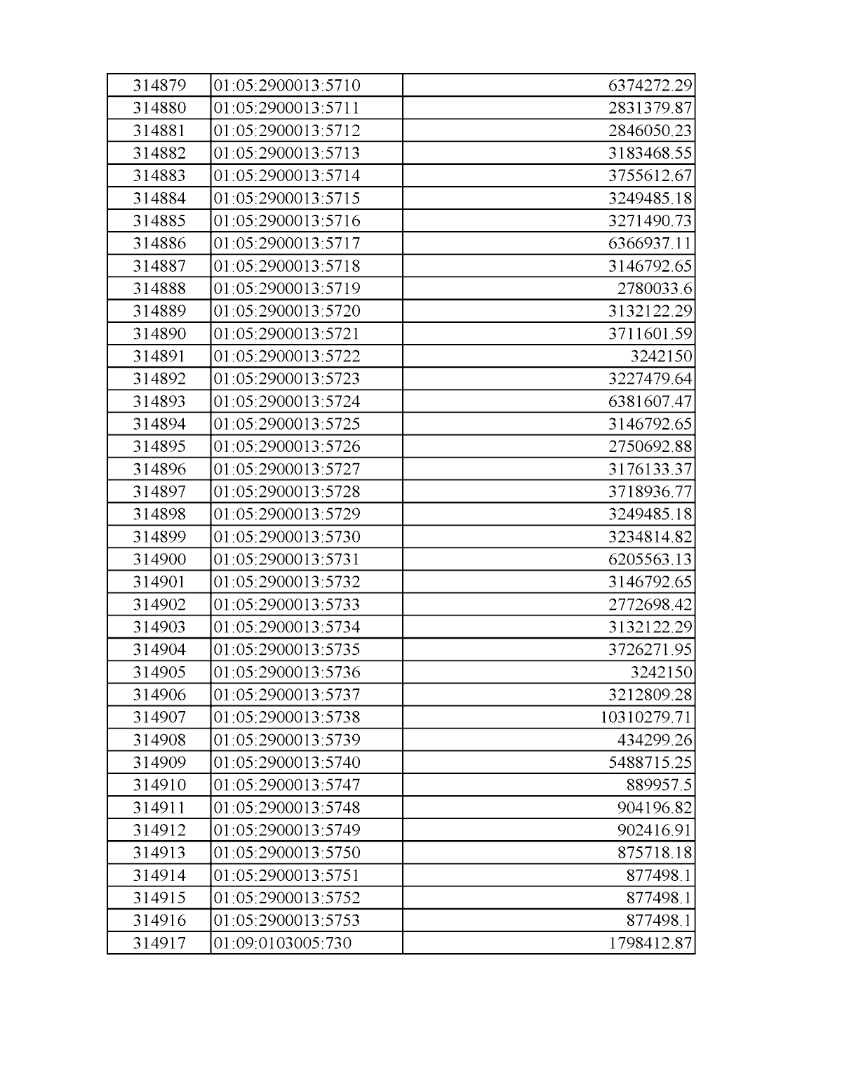
Приказ Комитета Республики Адыгея по имущественным отношениям от 25.10.2023 № 404
"Об утверждении результатов определения кадастровой стоимости зданий, помещений, сооружений, объектов незавершенного строительства, машино-мест, расположенных на территории Республики Адыгея"
(Зарегистрирован 03.11.2023 № 23-311)
Номер опубликования: 0101202311070005
Дата опубликования: 07.11.2023
Страница №8078 из 8099:
Увеличить