Официальное опубликование правовых актов
ОФИЦИАЛЬНОЕ ОПУБЛИКОВАНИЕ
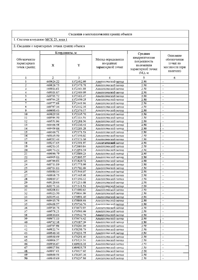
Приказ Комитета Республики Адыгея по имущественным отношениям от 12.05.2023 № 165
"Об установлении публичного сервитута с целью размещения объекта регионального значения"
(Зарегистрирован 23.05.2023 № 23-152)
Номер опубликования: 0101202305290002
Дата опубликования: 29.05.2023
Страница №16 из 17:
Увеличить