Приказ Комитета Республики Адыгея по имущественным отношениям от 17.03.2023 № 90
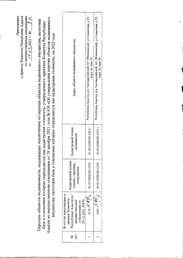
"О внесении изменений в перечень объектов недвижимого имущества, налоговая база в отношении которых определяется как кадастровая стоимость, утвержденный приказом Комитета Республики Адыгея по имущественным отношениям от 29 декабря 2021 года N 430 "Об утверждении перечня объектов недвижимого имущества, налоговая база в отношении которых определяется как кадастровая стоимость, на 2022 год"
(Зарегистрирован 22.03.2023 № 23-88)
"О внесении изменений в перечень объектов недвижимого имущества, налоговая база в отношении которых определяется как кадастровая стоимость, утвержденный приказом Комитета Республики Адыгея по имущественным отношениям от 29 декабря 2021 года N 430 "Об утверждении перечня объектов недвижимого имущества, налоговая база в отношении которых определяется как кадастровая стоимость, на 2022 год"
(Зарегистрирован 22.03.2023 № 23-88)
Номер опубликования: 0101202303220004
Дата опубликования:
22.03.2023
