Приказ Управления государственного регулирования цен и тарифов Республики Адыгея от 17.11.2022 № 151-п
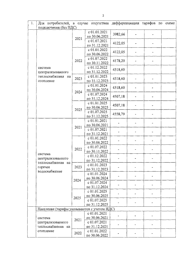
"О корректировке тарифов на тепловую энергию, установленных на долгосрочный период регулирования 2021-2025 годов для ООО "Логистический центр Адыгея 1", на 2023-2025 годы"
"О корректировке тарифов на тепловую энергию, установленных на долгосрочный период регулирования 2021-2025 годов для ООО "Логистический центр Адыгея 1", на 2023-2025 годы"
Номер опубликования: 0101202211230006
Дата опубликования:
23.11.2022
