Официальное опубликование правовых актов
ОФИЦИАЛЬНОЕ ОПУБЛИКОВАНИЕ
Приказ Министерства экономического развития и торговли Республики Адыгея от 31.10.2022 № 310-п
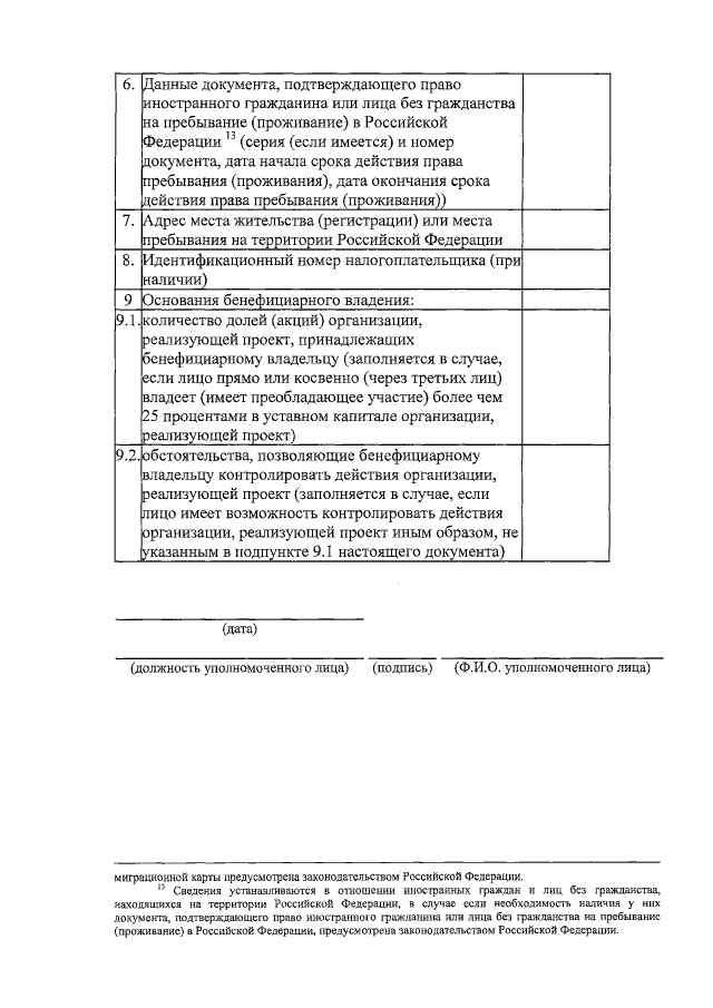
"О Порядках заключения, изменения и прекращения действия соглашений о защите и поощрении капиталовложений, стороной которых является Республика Адыгея и не является Российская Федерация, и осуществления мониторинга исполнения условий соглашения о защите и поощрении капиталовложений и условий реализации инвестиционного проекта, в отношении которого заключено такое соглашение, в том числе этапов реализации инвестиционного проекта"
Номер опубликования: 0101202211010001
Дата опубликования: 01.11.2022
Страница №36 из 61:
Увеличить