Официальное опубликование правовых актов
ОФИЦИАЛЬНОЕ ОПУБЛИКОВАНИЕ
Приказ Комитета Республики Адыгея по имущественным отношениям от 20.09.2022 № 327
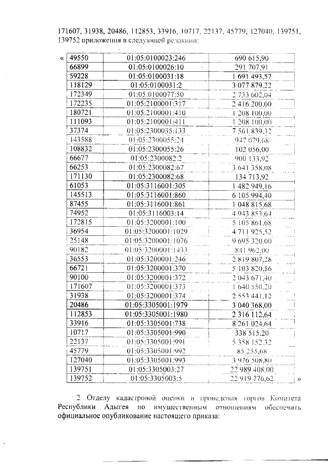
"О внесении изменений в результаты определения кадастровой стоимости земельных участков категории земель "земли населенных пунктов" на территории Республики Адыгея, утвержденные приказом Комитета Республики Адыгея по имущественным отношениям от 18.10.2021 г. N 328 "Об утверждении результатов определения кадастровой стоимости земельных участков категории земель "земли населенных пунктов" на территории Республики Адыгеи"
Номер опубликования: 0101202209210001
Дата опубликования: 21.09.2022
Страница №2 из 3:
Увеличить