Приказ Комитета Республики Адыгея по имущественным отношениям от 18.10.2021 № 328
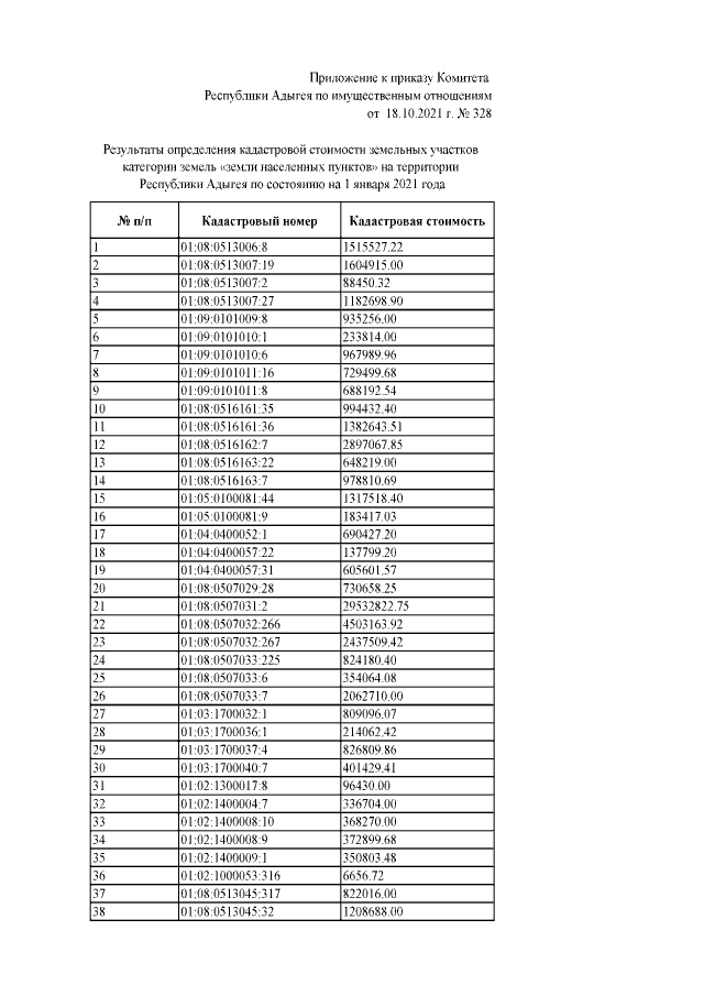
"Об утверждении результатов определения кадастровой стоимости земельных участков категории земель "земли населенных пунктов" на территории Республики Адыгея"
"Об утверждении результатов определения кадастровой стоимости земельных участков категории земель "земли населенных пунктов" на территории Республики Адыгея"
Номер опубликования: 0101202110190001
Дата опубликования:
19.10.2021
