Официальное опубликование правовых актов
ОФИЦИАЛЬНОЕ ОПУБЛИКОВАНИЕ
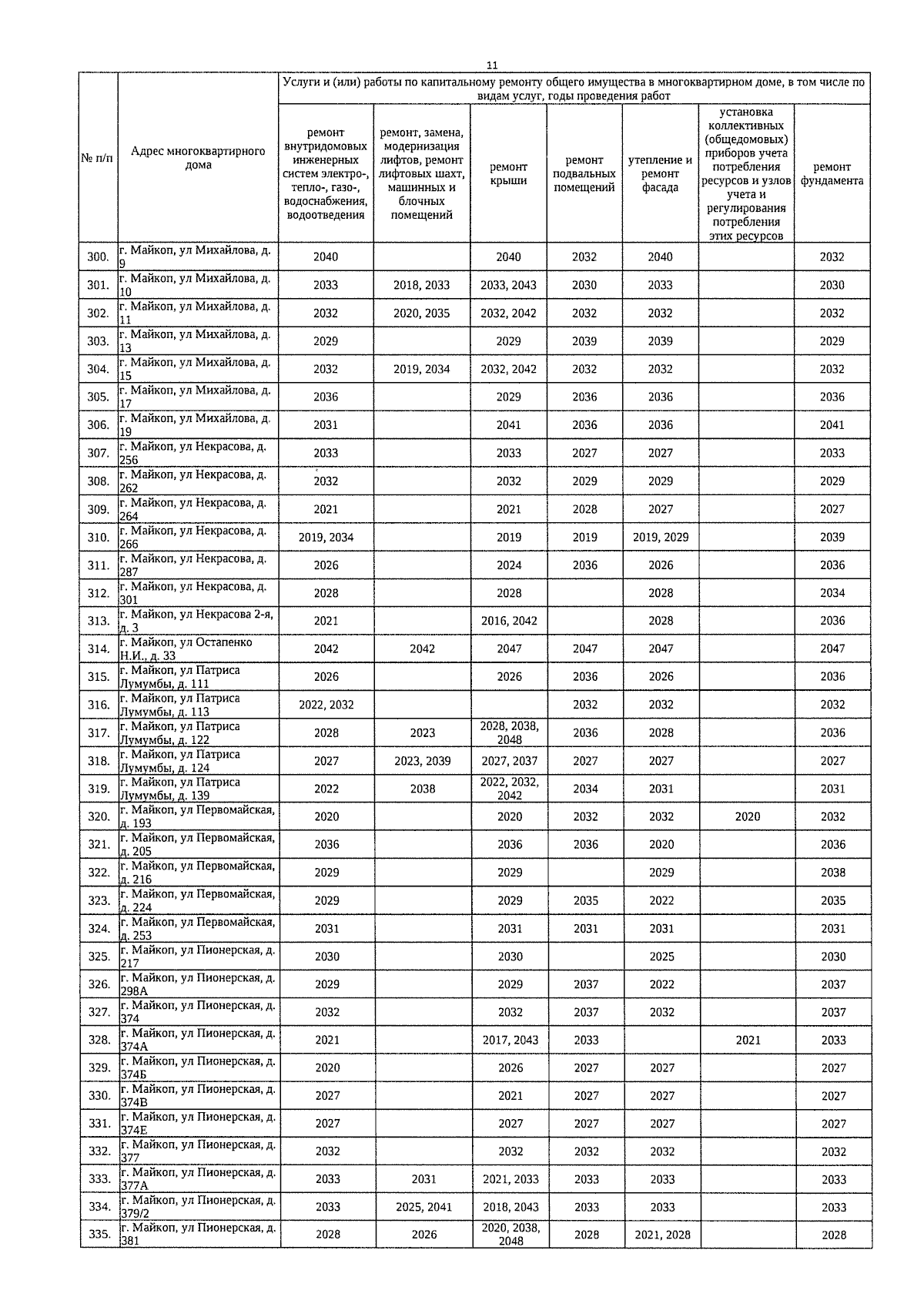
Постановление Кабинета Министров Республики Адыгея от 02.02.2026 № 11
"О внесении изменения в республиканскую программу капитального ремонта общего имущества в многоквартирных домах на 2014-2047 годы"
Номер опубликования: 0100202602040001
Дата опубликования: 04.02.2026
Страница №12 из 72:
Увеличить