Официальное опубликование правовых актов
ОФИЦИАЛЬНОЕ ОПУБЛИКОВАНИЕ
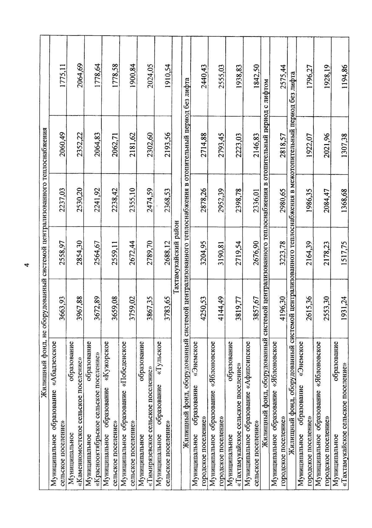
Постановление Кабинета Министров Республики Адыгея от 04.12.2024 № 196
"О внесении изменения в постановление Кабинета Министров Республики Адыгея от 24 мая 2024 года № 70 "О размерах республиканского стандарта стоимости жилищно-коммунальных услуг на 2024 год"
Номер опубликования: 0100202412060003
Дата опубликования: 06.12.2024
Страница №8 из 19:
Увеличить