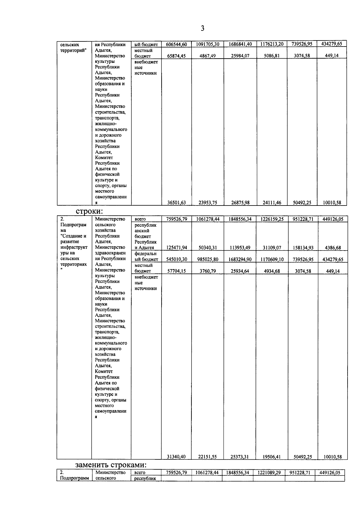
Постановление Кабинета Министров Республики Адыгея от 26.12.2023 № 345
"О внесении изменений в государственную программу Республики Адыгея "Комплексное развитие сельских территорий"
"О внесении изменений в государственную программу Республики Адыгея "Комплексное развитие сельских территорий"
Номер опубликования: 0100202312270004
Дата опубликования:
27.12.2023
