Официальное опубликование правовых актов
ОФИЦИАЛЬНОЕ ОПУБЛИКОВАНИЕ
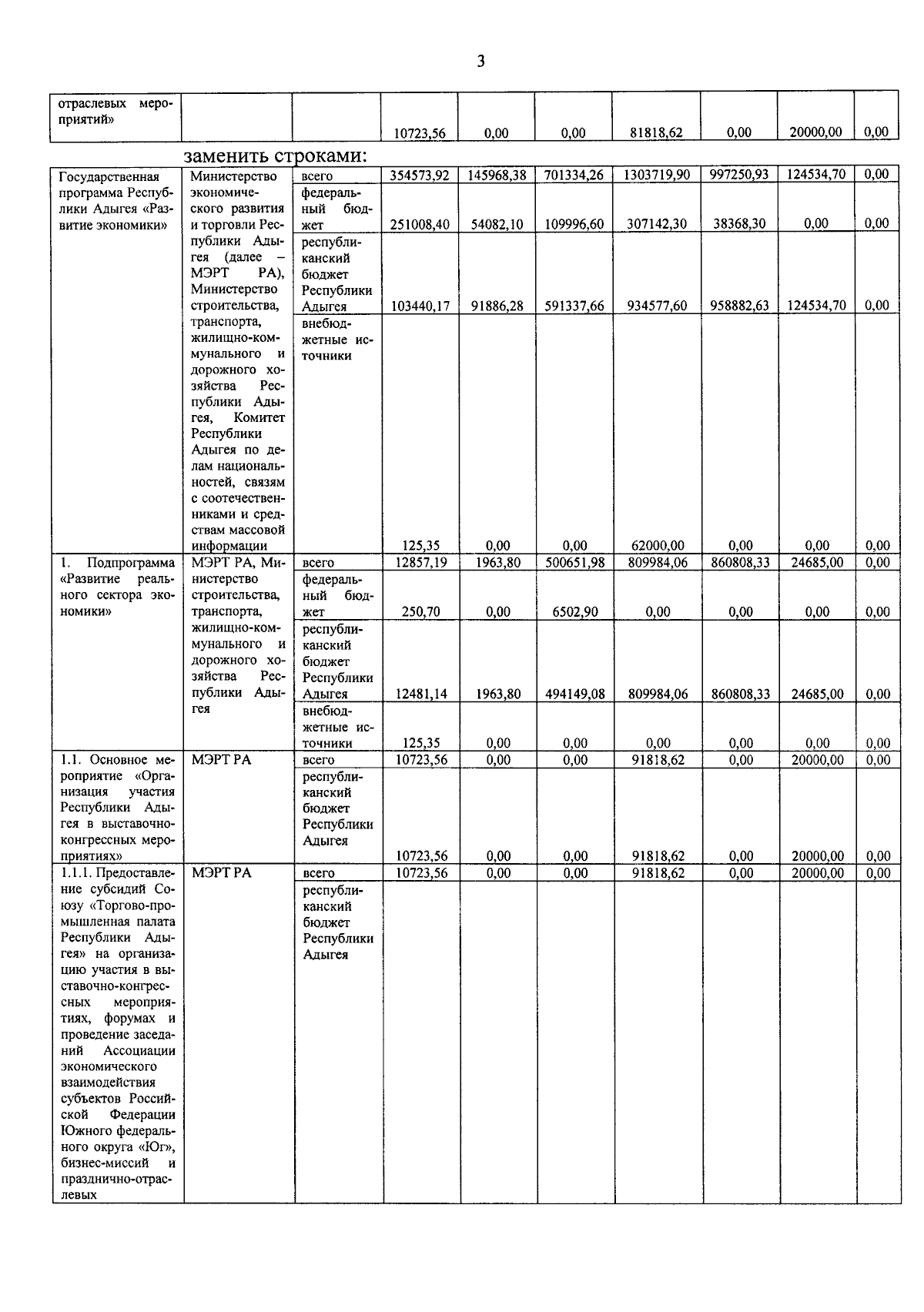
Постановление Кабинета Министров Республики Адыгея от 08.12.2023 № 316
"О внесении изменений в государственную программу Республики Адыгея "Развитие экономики"
Номер опубликования: 0100202312130002
Дата опубликования: 13.12.2023
Страница №3 из 4:
Увеличить