Официальное опубликование правовых актов
ОФИЦИАЛЬНОЕ ОПУБЛИКОВАНИЕ
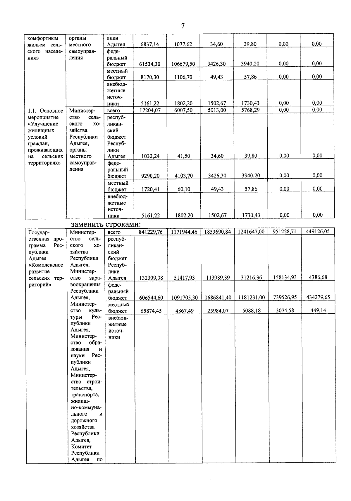
Постановление Кабинета Министров Республики Адыгея от 08.12.2023 № 314
"О внесении изменений в государственную программу Республики Адыгея "Комплексное развитие сельских территорий"
Номер опубликования: 0100202312110004
Дата опубликования: 11.12.2023
Страница №7 из 13:
Увеличить