Официальное опубликование правовых актов
ОФИЦИАЛЬНОЕ ОПУБЛИКОВАНИЕ
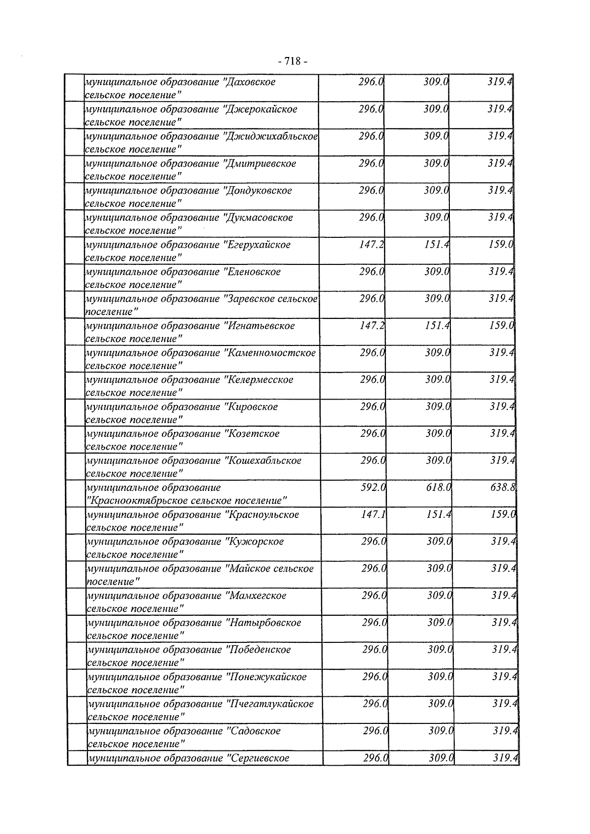
Закон Республики Адыгея от 16.11.2023 № 265
"О внесении изменений в Закон Республики Адыгея "0 республиканском бюджете Республики Адыгея на 2023 год и на плановый период 2024 и 2025 годов"
Номер опубликования: 0100202311210009
Дата опубликования: 21.11.2023
Страница №718 из 748:
Увеличить