Официальное опубликование правовых актов
ОФИЦИАЛЬНОЕ ОПУБЛИКОВАНИЕ
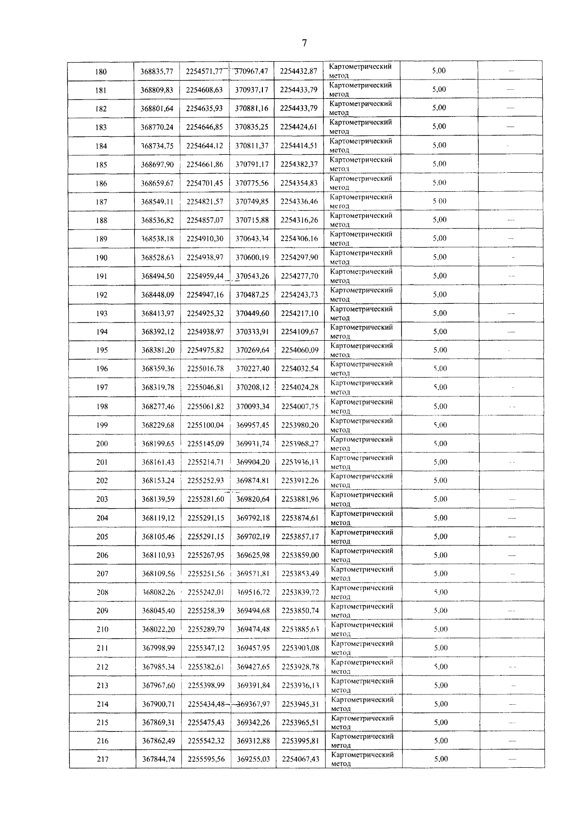
Распоряжение Кабинета Министров Республики Адыгея от 14.09.2023 № 315-р
"О сведениях о границах природного парка Республики Адыгея "Большой Тхач"
Номер опубликования: 0100202309150005
Дата опубликования: 15.09.2023
Страница №8 из 16:
Увеличить