Постановление Кабинета Министров Республики Адыгея от 25.08.2023 № 190
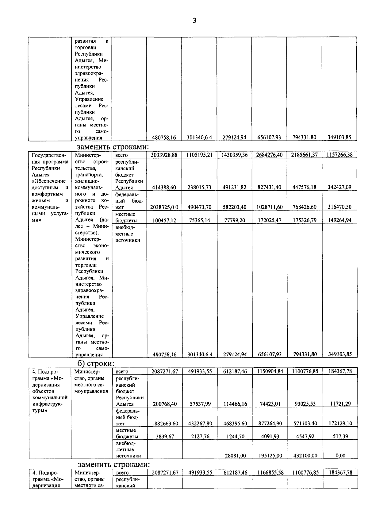
"О внесении изменений в государственную программу Республики Адыгея "Обеспечение доступным и комфортным жильем и коммунальными услугами"
"О внесении изменений в государственную программу Республики Адыгея "Обеспечение доступным и комфортным жильем и коммунальными услугами"
Номер опубликования: 0100202308290004
Дата опубликования:
29.08.2023
