Официальное опубликование правовых актов
ОФИЦИАЛЬНОЕ ОПУБЛИКОВАНИЕ
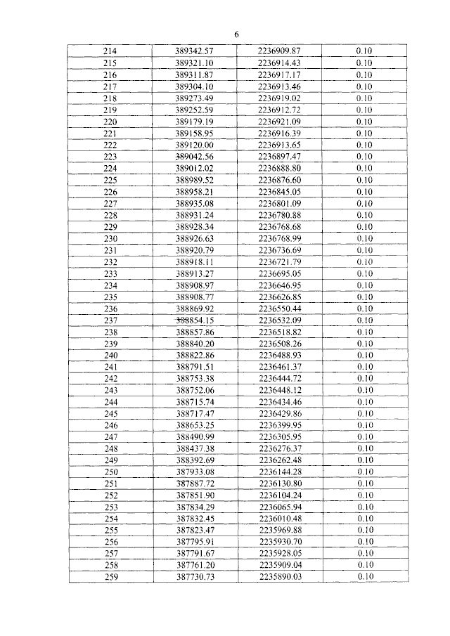
Распоряжение Кабинета Министров Республики Адыгея от 28.07.2023 № 268-р
"О резервировании земель для государственных нужд Республики Адыгея в целях размещения линейного объекта республиканского значения "Строительство автомобильной дороги Даховская - Дегуакская поляна, в границах МО "Майкопский район" Республики Адыгея"
Номер опубликования: 0100202307310001
Дата опубликования: 31.07.2023
Страница №8 из 10:
Увеличить