Официальное опубликование правовых актов
ОФИЦИАЛЬНОЕ ОПУБЛИКОВАНИЕ
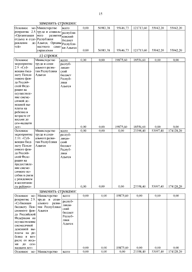
Постановление Кабинета Министров Республики Адыгея от 14.06.2023 № 127
"О внесении изменений в государственную программу Республики Адыгея "Социальная поддержка граждан"
Номер опубликования: 0100202306200004
Дата опубликования: 20.06.2023
Страница №15 из 21:
Увеличить