Официальное опубликование правовых актов
ОФИЦИАЛЬНОЕ ОПУБЛИКОВАНИЕ
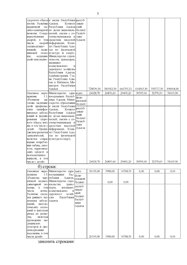
Постановление Кабинета Министров Республики Адыгея от 14.06.2023 № 126
"О внесении изменений в государственную программу Республики Адыгея "Развитие здравоохранения"
Номер опубликования: 0100202306200003
Дата опубликования: 20.06.2023
Страница №5 из 14:
Увеличить