Официальное опубликование правовых актов
ОФИЦИАЛЬНОЕ ОПУБЛИКОВАНИЕ
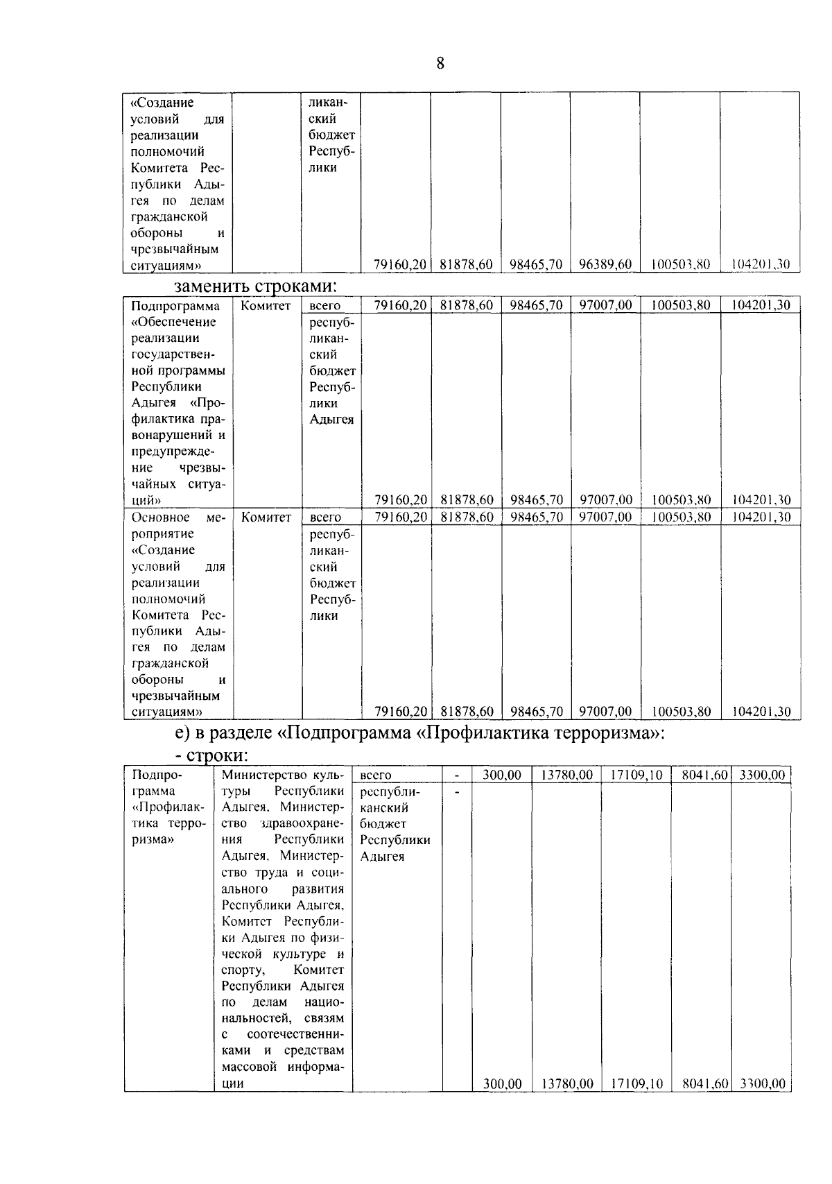
Постановление Кабинета Министров Республики Адыгея от 26.05.2023 № 114
"О внесении изменений в государственную программу Республики Адыгея "Профилактика правонарушений и предупреждение чрезвычайных ситуаций"
Номер опубликования: 0100202305310003
Дата опубликования: 31.05.2023
Страница №8 из 11:
Увеличить