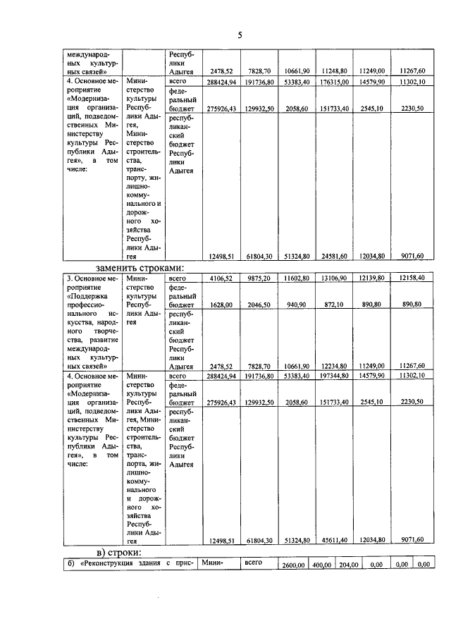
Постановление Кабинета Министров Республики Адыгея от 06.04.2023 № 73
"О внесении изменений в государственную программу Республики Адыгея "Развитие культуры"
"О внесении изменений в государственную программу Республики Адыгея "Развитие культуры"
Номер опубликования: 0100202304110005
Дата опубликования:
11.04.2023
