Официальное опубликование правовых актов
ОФИЦИАЛЬНОЕ ОПУБЛИКОВАНИЕ
Постановление Кабинета Министров Республики Адыгея от 30.12.2022 № 376
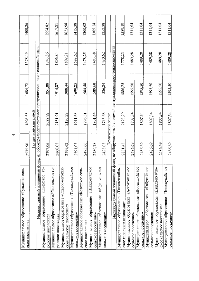
"О внесении изменения в постановление Кабинета Министров Республики Адыгея от 7 июня 2022 года N 122 "О республиканском стандарте стоимости жилищно-коммунальных услуг на 2022 год"
Номер опубликования: 0100202301040029
Дата опубликования: 04.01.2023
Страница №19 из 20:
Увеличить