Официальное опубликование правовых актов
ОФИЦИАЛЬНОЕ ОПУБЛИКОВАНИЕ
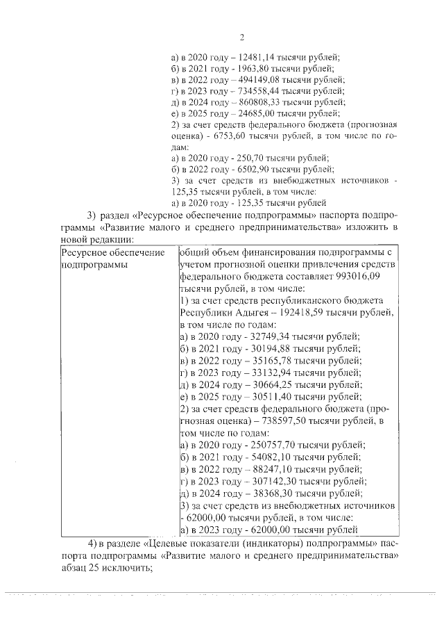
Постановление Кабинета Министров Республики Адыгея от 28.12.2022 № 359
"О внесении изменений в государственную программу Республики Адыгея "Развитие экономики"
Номер опубликования: 0100202212300034
Дата опубликования: 30.12.2022
Страница №3 из 30:
Увеличить