Официальное опубликование правовых актов
ОФИЦИАЛЬНОЕ ОПУБЛИКОВАНИЕ
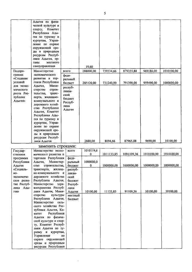
Постановление Кабинета Министров Республики Адыгея от 18.11.2022 № 298
"О внесении изменений в государственную программу Республики Адыгея "Социально-экономическое развитие Республики Адыгея"
Номер опубликования: 0100202211220006
Дата опубликования: 22.11.2022
Страница №5 из 18:
Увеличить