Официальное опубликование правовых актов
ОФИЦИАЛЬНОЕ ОПУБЛИКОВАНИЕ
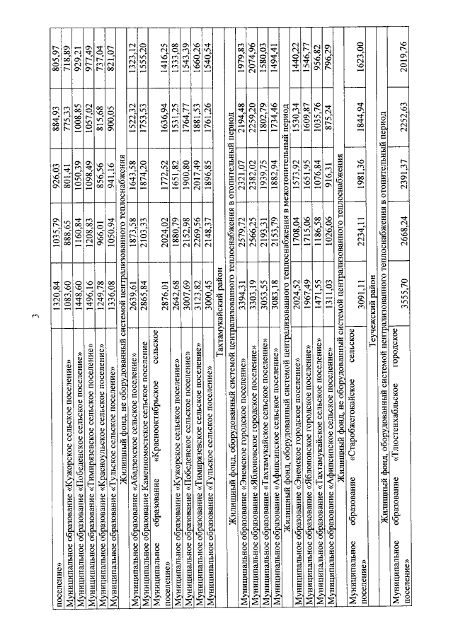
Постановление Кабинета Министров Республики Адыгея от 31.10.2022 № 273
"О внесении изменения в постановление Кабинета Министров Республики Адыгея от 7 июня 2022 года N 122 "О республиканском стандарте стоимости жилищно-коммунальных услуг на 2022 год"
Номер опубликования: 0100202211030002
Дата опубликования: 03.11.2022
Страница №11 из 16:
Увеличить