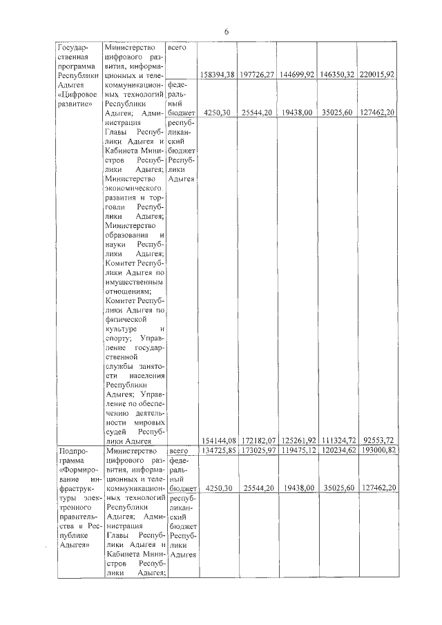
Постановление Кабинета Министров Республики Адыгея от 05.03.2022 № 40
"О внесении изменений в государственную программу Республики Адыгея "Цифровое развитие"
"О внесении изменений в государственную программу Республики Адыгея "Цифровое развитие"
Номер опубликования: 0100202203110011
Дата опубликования:
11.03.2022
