Официальное опубликование правовых актов
ОФИЦИАЛЬНОЕ ОПУБЛИКОВАНИЕ
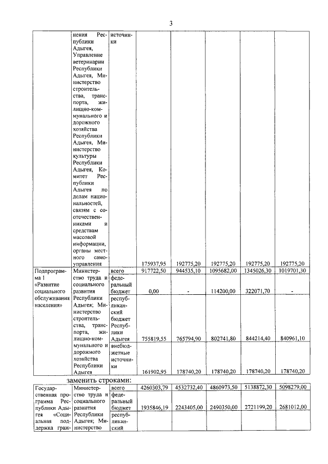
Постановление Кабинета Министров Республики Адыгея от 28.10.2021 № 222
"О внесении изменений в государственную программу Республики Адыгея "Социальная поддержка граждан"
Номер опубликования: 0100202111010002
Дата опубликования: 01.11.2021
Страница №3 из 8:
Увеличить