Официальное опубликование правовых актов
ОФИЦИАЛЬНОЕ ОПУБЛИКОВАНИЕ
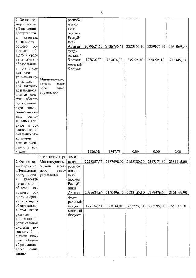
Постановление Кабинета Министров Республики Адыгея от 31.08.2021 № 163
"О внесении изменений в государственную программу Республики Адыгея "Развитие образования"
Номер опубликования: 0100202109060001
Дата опубликования: 06.09.2021
Страница №8 из 12:
Увеличить