Официальное опубликование правовых актов
ОФИЦИАЛЬНОЕ ОПУБЛИКОВАНИЕ
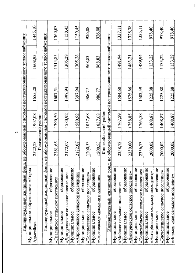
Постановление Кабинета Министров Республики Адыгея от 02.12.2020 № 247
"О внесении изменения в постановление Кабинета Министров Республики Адыгея от 26 мая 2020 года "О республиканском стандарте стоимости жилищно-коммунальных услуг на 2020 год"
Номер опубликования: 0100202012030001
Дата опубликования: 03.12.2020
Страница №20 из 24:
Увеличить