Официальное опубликование правовых актов
ОФИЦИАЛЬНОЕ ОПУБЛИКОВАНИЕ
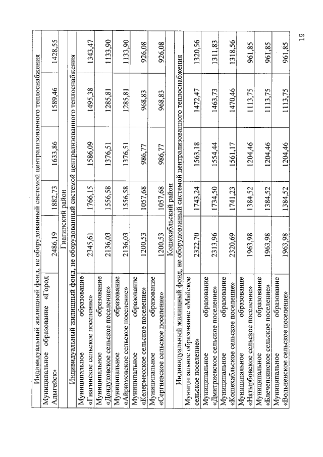
Постановление Кабинета Министров Республики Адыгея от 01.10.2020 № 195
"О внесении изменения в постановление Кабинета Министров Республики Адыгея от 26 мая 2020 года N 102 "О республиканском стандарте стоимости жилищно-коммунальных услуг на 2020 год"
Номер опубликования: 0100202010070002
Дата опубликования: 07.10.2020
Страница №20 из 24:
Увеличить