Официальное опубликование правовых актов
ОФИЦИАЛЬНОЕ ОПУБЛИКОВАНИЕ
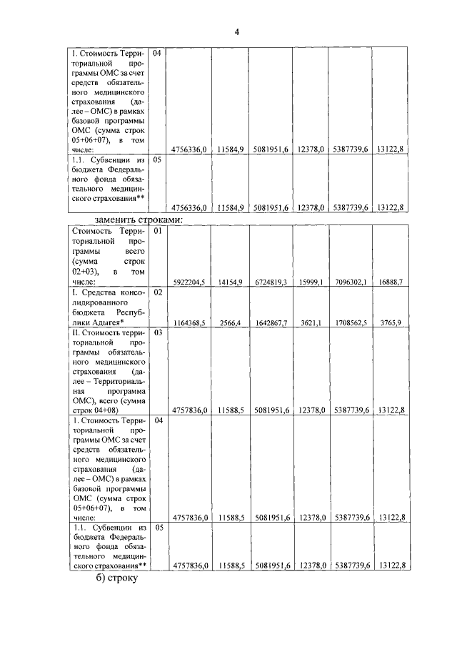
Постановление Кабинета Министров Республики Адыгея от 31.12.2019 № 347
"О внесении изменений в Территориальную программу государственных гарантий бесплатного оказания гражданам медицинской помощи в Республике Адыгея на 2019 год и плановый период 2020 и 2021 годов"
Номер опубликования: 0100202001040021
Дата опубликования: 04.01.2020
Страница №4 из 9:
Увеличить