Официальное опубликование правовых актов
ОФИЦИАЛЬНОЕ ОПУБЛИКОВАНИЕ
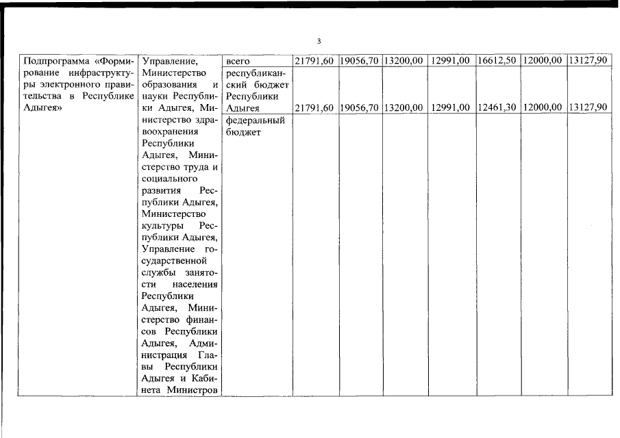
Постановление Кабинета Министров Республики Адыгея от 30.10.2017 № 188
"О внесении изменений в государственную программу Республики Адыгея "Развитие информатизации" на 2014-2020 годы"
Номер опубликования: 0100201711020001
Дата опубликования: 02.11.2017
Страница №11 из 17:
Увеличить