Официальное опубликование правовых актов
ОФИЦИАЛЬНОЕ ОПУБЛИКОВАНИЕ
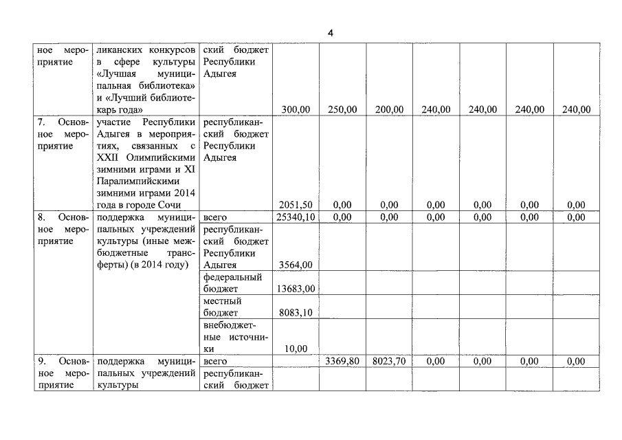
Постановление Кабинета Министров Республики Адыгея от 29.12.2016 № 255
"О внесении изменений в государственную программу Республики Адыгея "Развитие культуры" на 2014-2020 годы"
Номер опубликования: 0100201701030008
Дата опубликования: 03.01.2017
Страница №14 из 17:
Увеличить