Официальное опубликование правовых актов
ОФИЦИАЛЬНОЕ ОПУБЛИКОВАНИЕ
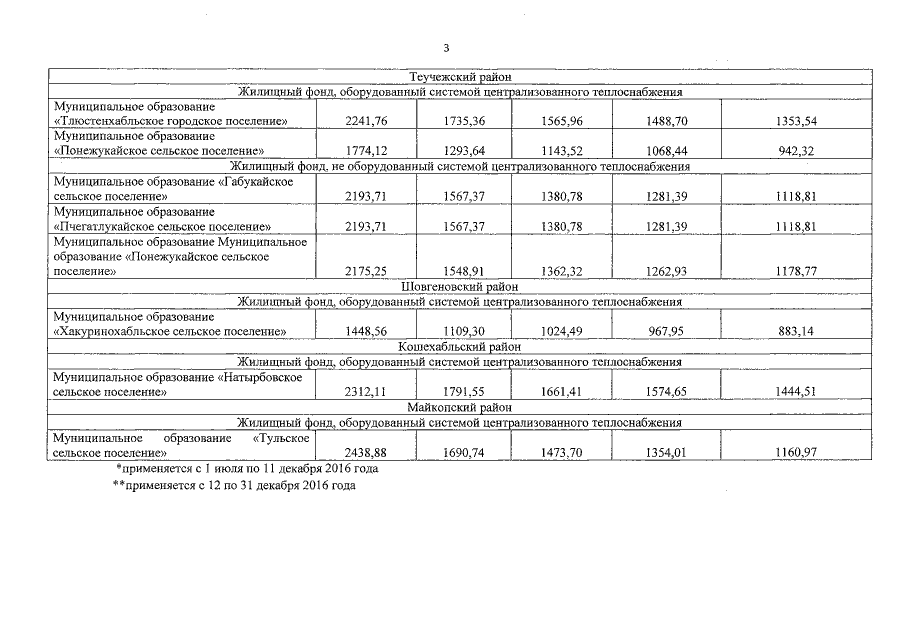
Постановление Кабинета Министров Республики Адыгея от 30.12.2016 № 267
"О внесении изменения в постановление Кабинета Министров Республики Адыгея от 16 декабря 2015 года N 274 "О республиканском стандарте стоимости жилищно-коммунальных услуг на 2016 год"
Номер опубликования: 0100201701030004
Дата опубликования: 03.01.2017
Страница №4 из 16:
Увеличить