Официальное опубликование правовых актов
ОФИЦИАЛЬНОЕ ОПУБЛИКОВАНИЕ
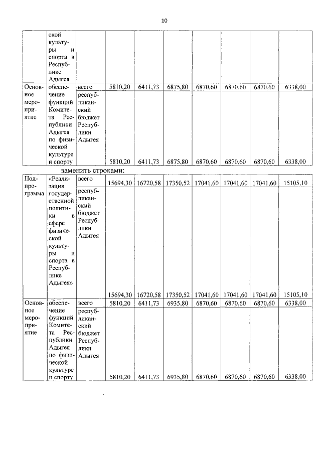
Постановление Кабинета Министров Республики Адыгея от 07.12.2016 № 228
"О внесении изменений в государственную программу Республики Адыгея "Развитие физической культуры и спорта" на 2014-2020 годы"
Номер опубликования: 0100201612090001
Дата опубликования: 09.12.2016
Страница №10 из 11:
Увеличить