Официальное опубликование правовых актов
ОФИЦИАЛЬНОЕ ОПУБЛИКОВАНИЕ
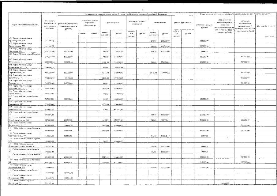
Постановление Кабинета Министров Республики Адыгея от 06.10.2016 № 181
"О краткосрочном плане реализации республиканской программы капитального ремонта общего имущества в многоквартирных домах на 2017-2019 годы"
Номер опубликования: 0100201610070001
Дата опубликования: 07.10.2016
Страница №22 из 30:
Увеличить