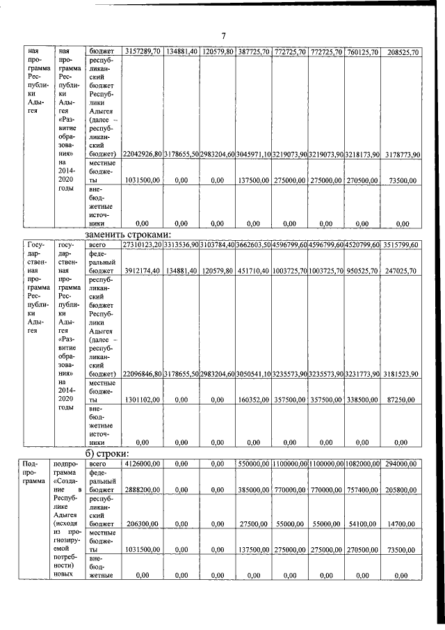
Постановление Кабинета Министров Республики Адыгея от 30.06.2016 № 115
"О внесении изменений в государственную программу Республики Адыгея "Развитие образования" на 2014-2020 годы"
"О внесении изменений в государственную программу Республики Адыгея "Развитие образования" на 2014-2020 годы"
Номер опубликования: 0100201607060003
Дата опубликования:
06.07.2016
