Официальное опубликование правовых актов
ОФИЦИАЛЬНОЕ ОПУБЛИКОВАНИЕ
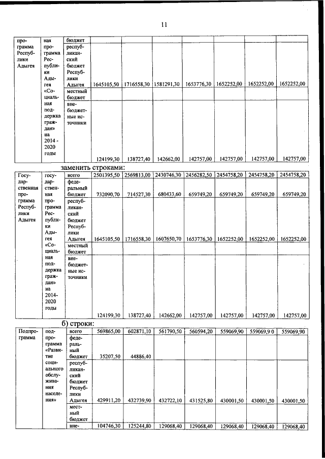
Постановление Кабинета Министров Республики Адыгея от 29.06.2016 № 112
"О внесении изменений в государственную программу Республики Адыгея "Социальная поддержка граждан" на 2014-2020 годы"
Номер опубликования: 0100201607010004
Дата опубликования: 01.07.2016
Страница №11 из 16:
Увеличить