Официальное опубликование правовых актов
ОФИЦИАЛЬНОЕ ОПУБЛИКОВАНИЕ
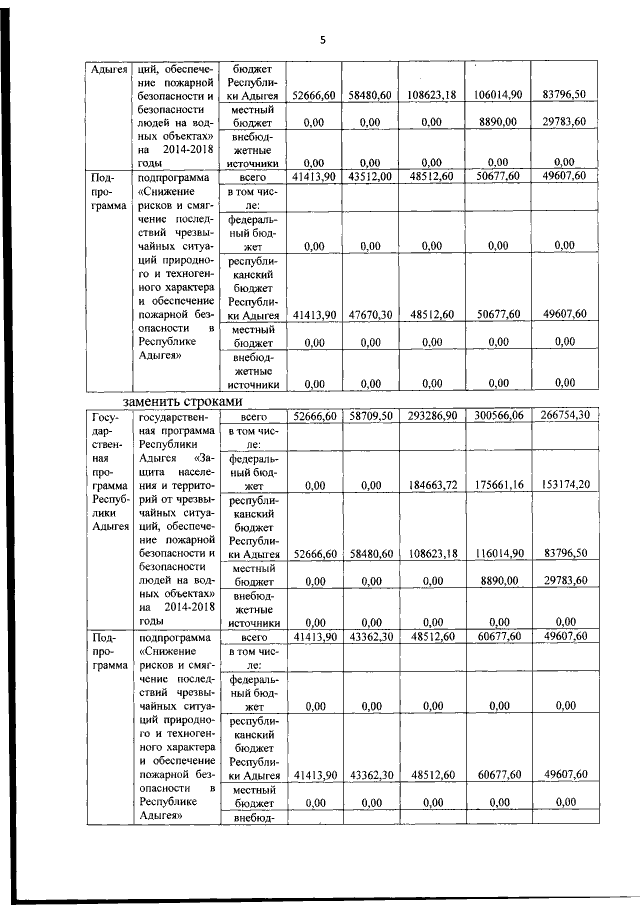
Постановление Кабинета Министров Республики Адыгея от 17.12.2015 № 278
"О внесении изменений в государственную программу Республики Адыгея "Защита населения и территорий от чрезвычайных ситуаций, обеспечение пожарной безопасности и безопасности людей на водных объектах" на 2014-2018 годы"
Номер опубликования: 0100201512230001
Дата опубликования: 23.12.2015
Страница №5 из 8:
Увеличить