Постановление Кабинета Министров Республики Адыгея от 07.12.2015 № 262
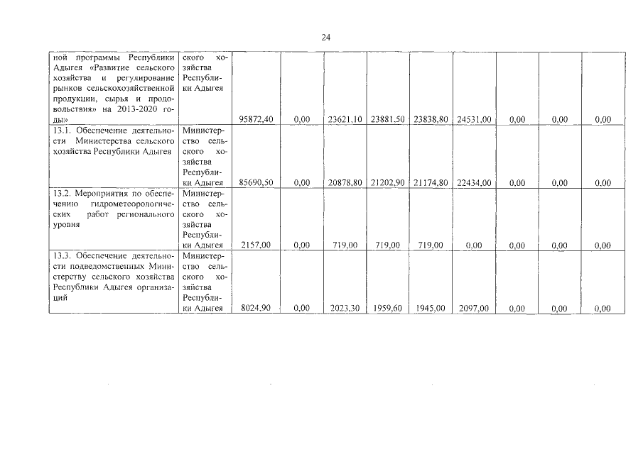
"О внесении изменения в постановление Кабинета Министров Республики Адыгея от 27 ноября 2012 года N 254 "О государственной программе Республики Адыгея "Развитие сельского хозяйства и регулирование рынков сельскохозяйственной продукции, сырья и продовольствия" на 2013-2020 годы"
"О внесении изменения в постановление Кабинета Министров Республики Адыгея от 27 ноября 2012 года N 254 "О государственной программе Республики Адыгея "Развитие сельского хозяйства и регулирование рынков сельскохозяйственной продукции, сырья и продовольствия" на 2013-2020 годы"
Номер опубликования: 0100201512110009
Дата опубликования:
11.12.2015
